SRM_HV 解析結果¶
以下に [CITE2025] で紹介された解析結果をまとめます。
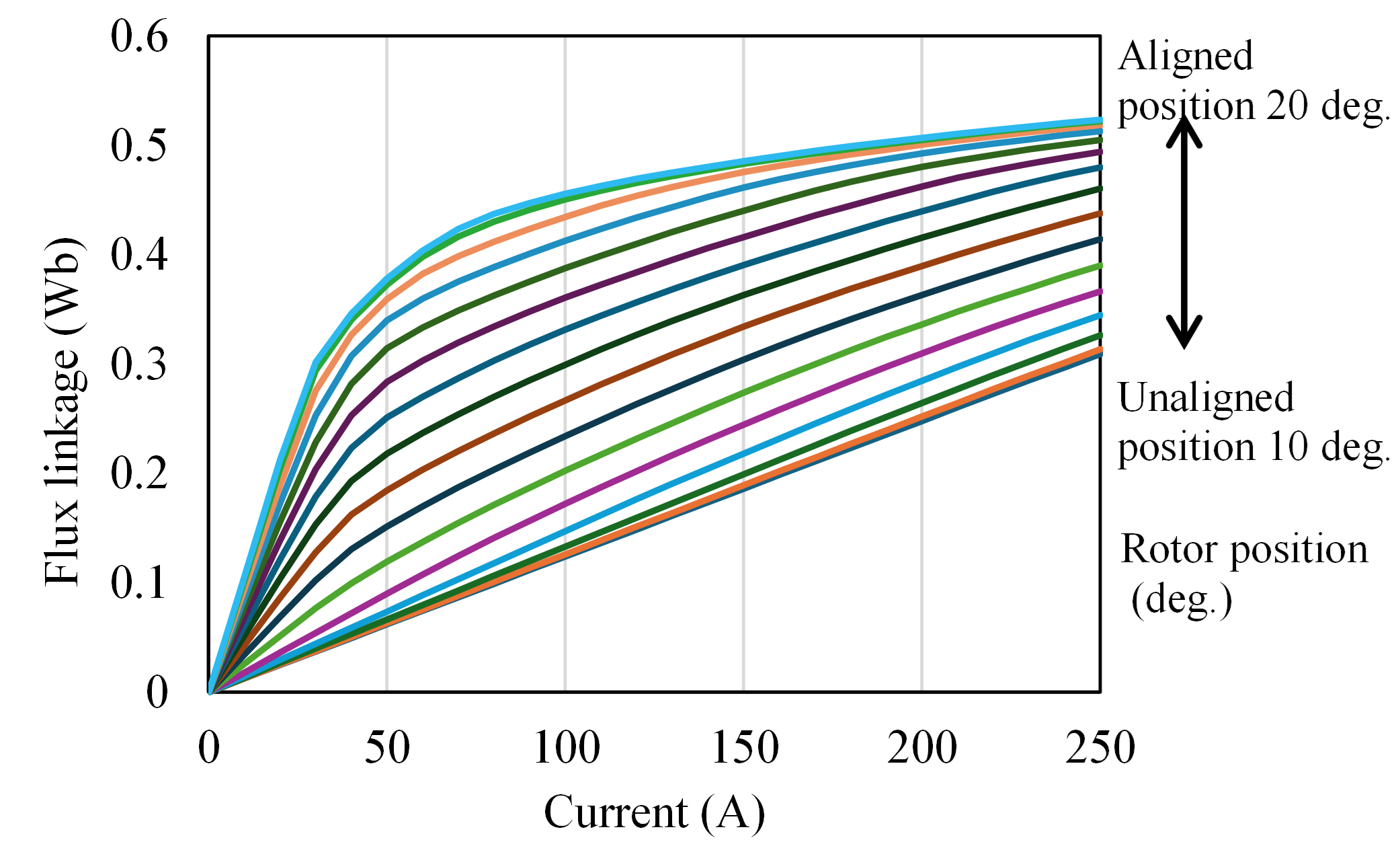
解析には BHカーブ(出典:[CITE2025]) を使用しました。
解析メッシュ図¶
技術報告 [CITE2025] では,解析メッシュ図は提示していませんが,ここでは例として [CITE2025] で使用したメッシュ図を示します。

図 73 SRM2モデル 2Dメッシュ図¶
磁束線分布¶

図 74 SRM2 U相励磁時の磁束線分布 (出典:[CITE2025])¶
トルク特性¶

図 75 SRM2 トルク―電流特性 (出典:[CITE2025])¶

図 76 SRM2 トルク―ロータ位置特性 (出典:[CITE2025])¶

図 77 SRM2 U,V,W相それぞれに直流電流250A印加時のトルク波形 (出典:[CITE2025])¶

図 78 SRM2 オーバーラップなし理想矩形波電流印加時のトルク波形 (出典:[CITE2025])¶